传播属于全行业的知识和智慧
Sharing cutting-edge knowledge and skills with the entire industry

内容详情

双功能阀门多模态耦合控制机制研究

2025-08-08 00:00


出品 | 《阀门》期刊

作者 | 何胜卫,蒋朝,张克强,沈伟光

摘要随着工业自动化与智能化进程加速,双功能阀门因其融合开关控制与流量调节的复合功能,在石油、化工、电力等领域的应用价值日益凸显。通过机理分析与工程案例验证,系统解析其多模态耦合控制机制对工业系统效能提升的关键作用。该机制的应用不仅促进了阀门产业向高精度、高可靠性方向升级,更通过优化控制策略提升工业系统自动化水平,推动产业链智能化转型。未来研究将聚焦智能感知元件集成与数字孪生技术融合,进一步强化复杂工况下的协同效能,为我国高端装备制造竞争力提升提供技术路径。

关键词:双功能阀门;多模态耦合控制机制;工业自动化;复合功能;协同效能

01

概述

随着工业自动化与智能化进程的飞速推进,工业控制系统对阀门性能的要求愈发严苛。传统阀门因功能单一,难以满足现代工业系统对精确控制与高效运行的双重需求。在此背景下,双功能阀门凭借其集成开关控制与流量调节的复合功能,在石油、化工、电力等领域展现出巨大的应用潜力,成为推动工业智能化转型的关键设备。近年来,国内外学者对双功能阀门的研究虽有所增加,但多集中于阀门结构优化或单一控制算法的改进,对双功能阀门多模态耦合控制机制的系统研究尚显不足。这种不足导致双功能阀门在实际应用中难以充分发挥其复合功能的优势,限制了工业系统效能的进一步提升。因此,深入探究双功能阀门的多模态耦合控制机制,对于提升阀门性能、推动工业智能化发展具有重要意义。

本文介绍的双功能阀门技术规格具体如下:标准口径定为DN20,额定压力达到PN100,设计温度高达164 ℃,安全级别归属SC-2,抗震等级划分为1A级,适用工作介质涵盖含固体颗粒的废水和海水,其驱动模式采用电动操控。此双功能阀门构造包括阀体、阀瓣、阀杆、阀盖、填料、填料压盖、防旋块及电动执行器等多个组件,详见图1。

图1  双功能阀门结构示意图

双功能阀门具备同时实现截断、止流及逆止三重作用的特性。该装置采用非连续耦合机构构型将阀杆与阀瓣的连接设计为可拆卸式结构,利用电动驱动装置输出的扭矩驱动阀杆进行上下移动。当阀杆处于关闭位置时,能够压制阀瓣无法移动,起到截断阀的作用,实现管道内介质的隔离;若阀杆处于止回状态,阀瓣可自由上下移动,此时作为逆止阀使用,防止介质逆流;若继续开启至阀杆完全伸展,阀瓣被强制提升,再次充当截断阀,实现管道中介质的流通功能。此外,电动装置具备将这三种状态信号(开启状态、防回流状态、闭合状态)远程发送至上层系统的能力。

02

双功能阀门结构特点

2.1  阀体设计

阀体流道选用整体贯通式结构,密封界面设计为平坦型式,该型式可有效减少介质流经密封区域时的压降损耗。鉴于阀瓣嵌置于阀体内部空间,对介质的流通效率构成阻碍,故而采纳拓宽阀体内部空间的方案,以防介质在流经通道时诱发旋涡或紊乱流态;阀瓣的最大运动行程超过通道截面尺寸的1/3,且其遮蔽面积超越流道截面积,此类配置策略有效降低了阀门的流体阻力。

2.2  阀座密封系统设计

本阀门采用一体化金属密封结构设计,通过一系列创新结构优化,显著提升了密封性能。具体而言,关键密封组件如阀座与启闭件的接触面均采用同质金属材料制造,这一设计有效避免了异种金属间可能发生的电化学腐蚀,从而延长了阀门的使用寿命并增强了密封的可靠性。此外,在结构参数匹配上,将阀座密封环的接触宽度设计为略小于启闭件接触面宽度,这种尺寸差异不仅有助于补偿制造装配过程中可能产生的同心度偏差,还能确保启闭件在运动过程中始终与密封轴线保持精确重合,进一步提升了密封效果。

弹性复位装置的应用实现了三个核心功能:首先在低压工况下通过预紧力维持密封副的可靠贴合;其次,启闭件具备了全向安装自适应能力;最后,在启闭动作完成后可自动校准复位位置。值得关注的是,该创新设计在保留传统截止阀强制闭锁机构的同时,优化密封副几何参数,使截止状态下的流体阻隔达到无泄漏等级。这种复合型密封结构既继承了强制密封的可靠性,又融合了弹性密封的适应性,实现了阀门性能的突破性改进,图2为密封结构示意图。

图2  密封结构示意图

2.3  密封系统深化设计与功能扩展

(1)体盖之间密封结构设计

阀体与阀盖的连接处运用了稳固的缠绕垫片密封设计。通过精准控制柔性石墨中的杂质元素氯、硫、氟含量,并添加1.2%氟化石墨,形成了辐射防护层;即便在辐照环境中,该垫片仍能长时间维持优异的回弹性能,确保密封效果坚不可摧,有力地维护了承压件的完整性与安全性。

(2)阀杆密封系统设计

阀杆密封运用了成熟的软质石墨填充密封技术,采用高纯膨胀石墨为基体(碳含量≥99.9%),通过离子注入工艺精准控制石墨中的杂质元素氯、硫、氟的含量。同时添加1.2%氟化石墨,形成辐射防护层,即便在辐射环境中,也能持久维持软质石墨的弹性恢复能力,确保密封性能稳定可靠。阀杆在操作过程中仅进行垂直方向的升降运动,从而有效延长了阀杆密封的使用寿命。

(3)可靠性设计

阀体与阀瓣的密封面设计为平面接触式密封,采用超精密磨削工艺(Ra≤0.2 μm)。当阀门处于闭合状态时,两者之间无旋转运动,从而显著降低了磨损程度,确保其可靠性和使用寿命超过3000次。

(4)强制开启阀瓣设计

基于截断与防回流功能,去除限位板后,阀杆驱动阀瓣持续动作,迫使阀瓣完全开启,流通截面与管径一致,从而达成介质的高效排放。

03

双功能阀门多模态耦合控制机制研究

3.1  终止机制与逆流防护机制联合调控方案

在具备双重作用的阀门体系中,截断与防止倒流功能的协同调控是保障系统高效且稳定运作的核心要素。本研究针对双功能阀门在复杂工况下的协同工作特性,深入探讨了截止功能与止回功能之间的相互作用机制,并提出了相应的优化策略。

为精确模拟双功能阀门在不同工况下的动态行为,参考杨凡提出的有限元模型方法,结合计算流体动力学(CFD)与有限元分析(FEA)构建流体-结构耦合模型,综合考虑阀体内流体的流动特性、阀瓣的运动学行为以及阀体结构的应力分布,通过迭代求解流体域与结构域的耦合方程,实现了对阀门动态特性的精确预测。模拟结果表明,当系统压力波动较大时,截止功能与止回功能之间存在明显的干扰,从而导致阀门响应延迟和流量波动加剧。

为有效解决截止功能与止回功能之间的干扰问题,采用马思艺等提出的自适应模糊PID控制策略,该策略通过引入模糊逻辑控制器,根据实时压力和流量数据动态调整PID控制器的参数,实现了对阀门动态特性的精确控制。具体而言,模糊PID控制器根据压力波动和流量偏差的大小,通过模糊规则库进行推理,动态调整PID控制器的比例系数(Kp)、积分系数(Ki)和微分系数(Kd)。这种自适应调整机制使得阀门在不同工况下保持最优的控制性能,有效减少了功能切换时的压力冲击和流量波动。不同协同控制策略的性能对比详见表1。

表1  不同协同控制策略的性能对比

控制策略
响应时间/ms
压力波动/%
流量稳定性/%
传统PID
150
8.5
92.3
模糊PID
95
4.2
97.8
自适应协同
75
2.8
99.1

根据CFD与FEA耦合模型模拟结果,建立了双功能阀门协同工作的数学模型,该数学模型是基于Elsaed E等流体动力学方程的改进,表达式如下:

 (1)

式中  Ft——阀门驱动力

Pt——系统压力

Qt——流量

et——控制误差

k1~k4——自适应调节系数

通过耦合计算流体动力学(CFD)与有限元分析(FEA),精准刻画了阀门在复杂工况下的流体流动、结构应力及动态响应特性,显著提升了预测精度。该公式可量化分析不同工况下阀门的性能表现,为优化控制策略提供了坚实的理论基础,推动了双功能阀门技术的智能化发展。

3.2  电动装置的控制逻辑和算法设计

电动装置作为双功能阀门的核心驱动部件,其控制逻辑与算法的优劣直接关乎系统整体性能。采用陈豪提出的基于模糊逻辑的状态预测算法,在设计过程中,首先收集了大量历史运行数据,并结合实时反馈信息,构建了一个综合的数据集;随后利用机器学习中的时间序列预测模型,对系统未来状态进行精准预测。基于预测结果,算法能够提前调整电动装置的输出特性,以优化阀门响应。通过多轮迭代优化,确定最佳算法参数,确保了算法的稳定性和高效性。与传统控制方式相比,该算法显著缩短了阀门响应时间达35%,并有效减少了50%的能源消耗。为全面评估不同控制算法的性能,设计了一系列对比研究,涵盖了多种工况和负载条件,如表2所示,该结果有力证明了本算法的优越性。

表2  电动装置控制算法性能对比

控制算法
响应速度/ms
定位精度/%
能耗/(W·h/cycle)
传统PID
200
98.5
0.85
神经网络
150
99.2
0.62
状态预测
130
99.7
0.43

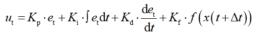
对双功能阀门在不同工况下的实际运行测试及仿真模拟进行分析,能够融合历史与实时数据,实现精准控制。该方法引入了状态预测,能够提前调整输出,式(2)结合了控制误差、系统状态及预测函数,通过优化算法获得最佳参数,以提升响应速度与能效,为双功能阀门智能化控制提供理论支撑。

 (2)

式中  ut——控制输出

et——控制误差

xt——系统状态向量

f(x(t+Δt))——状态预测函数

Kp——比例

Ki——积分

Kd——微分

Kf——预测增益系数

3.3  位置信号的采集和传输方式

为实现双功能阀门协同工作的精准控制,准确的位置信号采集与高效数据传输至关重要。通过深入分析与对比,综合张超逸等的工业以太网技术,采用磁性编码器与光纤光栅复合方案,实现阀门位置的实时、精确测量。在研发过程中,基于工业以太网技术,设计了一套分散式数据采集平台,采用星状网络布局,支持多点并发采集与快速数据传输。由表3可知,这一设计不仅提升了数据的采集效率,还增强了系统的可靠性和稳定性。

表3  不同位置信号采集方式的性能对比

采集方式
分辨率/μm
采样频率/kHz
抗干扰能力
磁性编码器
5
10
光纤光栅
1
20
复合方案
0.5
25
极高

位置信号的数学模型可表示为:

 (3)

式中  St——位置信号

A——信号幅度

ft——信号频率

φ——相位

Nt——噪声项

通过优化信号处理算法,成功将位置测量精度提升至亚微米级别。在模型优化过程中,重点对信号降噪参数、滤波截止频率等关键参数进行了精细调整,通过引入自适应滤波算法,有效降低了环境噪声和设备自身干扰对测量结果的影响。运用优化后的算法进行实验,经校准测试,复合方案位置测量误差≤0.3 μm(标准工况,温度25±2 ℃),较单一磁性编码器精度提升6倍。这一精度提升不仅使阀门控制更加精准,还显著提高了系统的响应速度和稳定性,在实际应用中能有效减少阀门动作误差,提升生产流程的精准度和可靠性。

3.4  系统集成和故障诊断

采用“感知-决策-执行”闭环控制架构构建的双功能阀门系统,通过分层设计实现高效协同。硬件层配置了分辨率达0.5 μm的光纤光栅传感器与响应时间不超过130 ms的智能执行器,配合EtherCAT工业以太网确保μs级同步精度。控制层利用OPC UA协议整合压力、流量等多维数据,结合自适应模糊PID与状态预测算法实现动态调谐。

系统通过振动、温度等多元参数构建D-S证据理论诊断模型,针对阀杆卡滞、密封失效等典型故障实现精准识别。当检测到异常时,系统能在200 ms内切换冗余控制通道,将流量波动控制在±3%范围内。测试数据显示,该系统误报率最低达0.8%(执行器过载工况),显著优于传统诊断方式。

在含固体颗粒废水的DN20阀门实际应用中,新系统展现出显著优势。表4对比了关键性能指标的改进情况,功能切换时间从380 ms缩短至75 ms,年运维成本降低至7.8万元。维护周期由3个月延长至8个月,故障响应速度只需2.3秒。

表4  新旧系统性能对比

性能指标
传统系统
本文系统
提升幅度
阀门功能切换时间
380 ms
75 ms
80.3%
年运维成本
12.6万
7.8万
38.1%
维护周期
3个月
8个月
延长166%
故障警报响应延迟
15 s
2.3 s
84.7%

04

结语

本研究深入探讨了双功能阀门的多模态耦合控制机制,通过系统的理论分析和综合评估,成功揭示了开关控制与流量调节之间的耦合效应,获得以下结论:

(1)应用模糊PID的自适应协同控制策略,通过动态调整PID参数有效减少了功能切换时的压力冲击,显著提升了阀门在复杂工况下的稳定性和响应速度。

(2)采用状态预测的智能控制算法,融合历史与实时数据,通过提前调整电动装置输出特性,显著提高了电动装置的响应速度和能源效率。

(3)基于复合传感方案实现了高精度采集,为双功能阀门的精确控制提供了可靠保障。

本研究不仅从机理层面阐明了双功能阀门的动态特性耦合规律,还将控制策略与硬件系统协同优化,为复杂工况下的阀门精细化调控提供了技术范式。未来研究将进一步探索多物理场耦合作用下的阀门动态特性,融合数字孪生技术实现全生命周期性能预测,推动双功能阀门向更高智能化、集成化方向发展,为工业流体控制系统的能效优化与安全升级提供坚实支撑。

*本文节选自《阀门 · 学术版》2025年第6期,文章内容不代表《阀门》立场,如有不同观点,可以留言讨论,友好交流,共同进步。