传播属于全行业的知识和智慧
Sharing cutting-edge knowledge and skills with the entire industry

内容详情

苛刻工况先导式安全阀导向结构研究与改进

2025-10-17 00:00


出品 |《阀门》期刊

作者 |  张翔宇,鲍鲜宇,冯坤

摘要:先导式安全阀的主阀阀瓣属于关键零件,直接影响安全阀的密封、开启、排放、关闭等主要功能的实现,其在导套内往复运动的顺畅与否对安全阀的准确开启和关闭有着重要作用。为了改善先导式安全阀在高压和含杂质工况中出现的主阀卡阻现象,本文基于传统先导式安全阀进行改进,优化其导向结构,使阀瓣的往复运动在安装和使用过程中更加顺畅,突破了先导式安全阀在煤化工、石油化工等恶劣工况中的应用限制,为高参数流程工业装备的密封安全保障提供了创新解决方案,具有显著的工程应用价值。

关键词: 先导式安全阀;主阀阀瓣;导向结构

01

概述

安全阀在各个领域均发挥着重要作用,能够有效防止锅炉、压力容器或压力管道等承压装置和设备因超压而被损坏,从而确保设备的正常运行以及人员的安全,是生产系统中不可或缺的最终泄压保护装置,也是保障生产系统安全的最后一道防线。随着工业生产的不断发展,对于安全阀的性能要求越来越高,尤其是在高压、大口径以及介质复杂的工况下,安全阀的可靠性直接关系到生产的安全性和稳定性。

先导式安全阀作为一种常见的安全阀类型,由主阀和导阀构成。其中,主阀是通过从导阀排出的介质来驱动或控制的,而导阀则是一个直接作用式安全阀。这种结构原理使得工作介质可以对主阀阀瓣施加远大于直接作用式安全阀的载荷,其动作不受背压变化的影响,因此特别适用于高压、大口径的场合,且得到了十分广泛的应用,成为众多工业领域中的主要产品之一。

在实际应用中,传统先导式安全阀的主阀阀瓣在高压力或介质含有杂质的工况下,易出现卡阻现象。这种卡阻现象会导致安全阀泄漏、无法正常启闭、动作性能指标超标等一系列严重后果,从而给生产带来安全隐患。例如,用于某煤化工装置的先导式安全阀,由于其介质中含有大量颗粒物,且整定压力较高,在安全阀起跳后因阀瓣卡阻无法回座。为解决现场应用的主阀阀瓣卡阻问题,本文进行了深入的问题分析,并对其导向结构进行改进,进一步提高先导式安全阀在复杂工况下的可靠性和安全性,满足现代工业生产对安全阀的高性能要求,为工业生产的稳定运行提供更加可靠的保障。

02

主阀阀瓣的传统导向结构及存在的问题

2.1  传统导向结构

先导式安全阀主阀阀瓣的传统导向结构为金属导向,即依靠A、B两个环形的外表面与导套间隙配合来实现导向作用,两个环形导向面上设置有两道O型圈用于密封,如图1所示。在清洁的介质工况中,这种金属导向结构的可靠性较高,并且由于阀瓣与导套间有两道O型圈密封,故该结构的密封性较好,能够有效防止介质泄漏,保证安全阀的正常工作。

图1  传统主阀阀瓣结构示意图

2.2  存在的问题

尽管现有导向结构在清洁介质工况下表现良好,但由于是金属面相互配合,需要依靠公差实现,零件局部表面的摩擦力可能较大。当工况比较苛刻时,如压力较高、介质中含有大量杂质等,阀瓣与导套之间的摩擦力将大幅增加;一旦杂质进入金属间隙,可能导致阀瓣与导套卡死,最终使阀门无法开启或回座,带来严重的安全问题。这种卡阻现象不仅会影响安全阀的正常工作,还可能导致设备超压运行,危及整个生产系统的安全,给企业带来巨大的经济损失和安全隐患。因此在这种工况下一般不使用先导式安全阀。

03

主阀阀瓣的改进方案

3.1  方案介绍

为有效改善先导式安全阀主阀阀瓣的卡阻现象,提高其在复杂工况下的可靠性和使用寿命,通过对其他带有活塞产品的调研及深入的技术分析,本文对原有阀瓣的结构进行了优化改进。改进后的结构如图2所示,首先增加了阀瓣与导套之间的间隙,以减小金属与金属之间的直接接触面积,当一定量的杂质进入时不会导致阀瓣与导套卡死,从而提高了阀瓣在杂质介质工况下的运动可靠性。同时,采用导向带替代原有的金属导向面,安装后导向带的环形表面会高于阀瓣外表面与导套接触,将阀瓣支撑于导套内,仅留导向带与导套内径接触,显著减小了往复运动时的摩擦阻力,进一步降低了卡阻的风险。此外,新结构只保留了阀瓣上端的一道O型圈用于密封,去掉一道O型圈减小了导套与阀瓣间的摩擦力,经过试验验证后,确保密封性能不受影响,从而在优化导向性能的同时,兼顾了密封性能的要求。

图2  主阀阀瓣改进结构示意图

3.2  密封结构的改进

在改进导向结构的过程中,本文对阀瓣与导套间的密封结构进行了优化。原结构中设置两道O型圈的原因是上下放置的O型圈具有一定的扶正作用,可以保证阀瓣的垂直度,防止阀瓣倾斜造成严重卡阻。然而,经过深入分析和试验验证,在改进后的结构中去掉一道O型圈并不会对密封性能产生显著的负面影响。这是由于改进后的结构已经利用导向带保证阀瓣的导向和支撑,阀瓣在运动过程中能够保持较好的垂直度,从而确保密封性能的可靠性。去掉一道O型圈后,可有效减小O型圈与导套间的摩擦力,进一步降低阀瓣运动过程中的阻力,提高安全阀的动作性能和使用寿命。

3.3  导向带的设计

3.3.1  导向带的材料选择

导向带在液压缸和活塞杆的直线往复运动中应用广泛,其主要功能是为液压缸的活塞和活塞杆提供导向和支撑作用,并且可以吸收径向载荷,防止运动部件之间的金属接触,减少磨损和摩擦。与传统的金属导向件相比,非金属的导向带具有诸多优势,如生产成本低、承载能力高、能够消除局部应力集中、耐磨性好、使用寿命长等;且金属与塑料配合时消除了相互磨损,摩擦特性优良,能够吸收并衰减机械振动;同时,非金属导向带的擦拭效果好且可吸附外来的细小颗粒等。因此,将导向带应用于先导式安全阀主阀阀瓣的导向结构可有效减弱高压工况及含杂质工况对阀瓣运动的阻滞,提高阀瓣的运动顺畅性和可靠性。

导向带的主要材料是PTFE(聚四氟乙烯),通过对其填充不同的物质,可以获得不同的机械性能,以满足不同的工况需求。例如,PTFE填充碳可以增加自润滑性,且填充碳纤维还能增强耐磨性,而填充青铜可以提高承载能力。对于安全阀的应用工况,由于阀瓣竖直放置于导套内,径向承受压力较小,因此摩擦力较小,故而材料选择PTFE填充碳纤维,这种材料能够在保证导向带自润滑性能的同时,满足安全阀在高压和含杂质工况下的使用要求,确保阀瓣的稳定运动和可靠密封。

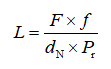
3.3.2  导向带的尺寸设计

在导向带的设计过程中,径向承载力和由此产生的弹性变形是关键参数。为了确保导向带能够有效支撑阀瓣并承受工作过程中的径向载荷,必须根据具体工况计算所需的最小导向长度,并据此合理选择导向带的宽度和数量。最小导向长度L的计算公式为:

 (1)

式中  F——最大径向载荷,N

f——安全系数,通常取2

Pr——导向带最大允许承载力,N/mm2

dN——活塞直径,mm

以规格为8T10、整定压力为6 MPa的先导式安全阀的主阀阀瓣为例进行计算。图3为阀瓣在导套内倾斜极限状态的示意图,此时阀瓣的倾斜角度达到最大值,阀瓣所受的径向力最大。为了让计算保守、简便,设置开启时气室腔(阀瓣顶部)的压力为0,且为无背压工况。设倾斜角度为(90°-α),在截面上形成一个直角三角形,其三边长度分别标记为a、b、c。

 图3  阀瓣受力示意图

阀瓣主要受介质力、垂直向下的重力、弹簧力等作用,且分布于阀瓣侧面的介质力可以相互抵消。设主阀阀瓣开启时受到的径向力为F径,则F径可由下式计算:

 (2)

式中  Ps——整定压力(即此时的介质压力),MPa

r——阀瓣半径(即介质压力对阀瓣的受力半径),mm

G——阀瓣重力,N

阀瓣高度c=230 mm,阀瓣与导套的最大间隙a≈0.6 mm,因此 ,F径=435.54 N。以PTFE填充碳材料导向带的最大允许承载力为10 N/mm2计算, ,最终可得最小导向长度为0.48 mm。

由表1确定合适的导向带宽度,再根据计算得到的最小导向长度确定导向带数量。安全阀导套内径对应表中的缸孔直径,导套内径已知,根据表1可得出导向带宽度的推荐范围。

表1  导向带宽度推荐表

系列号
缸孔直径/mm
导向带宽度/mm
导向带厚度/mm
GP41
8~20
2.5
1.55
GP43
10~50
4
1.55
GP65
16~140
5.6
2.5
GP69
60~220
9.7
2.5
GP73
130~400
15
2.5

规格为8T10、整定压力为6 MPa的安全阀的阀瓣直径为180 mm,对应的系列号为GP69和GP73,分别是宽9.7 mm和宽15 mm的导向带,两个数值均已超过最小导向长度0.48 mm,因此两种宽度均符合承压的基本要求。由表1可以看出,对于相同的缸孔直径,会给出两种宽度建议,因此本文针对导向带宽度和数量对导向作用的影响进行试验验证。

04

试验验证

4.1  试验方法

为分析导向带宽度及数量对导向作用的影响,本文进行了以下试验。为了更好覆盖全部规格的安全阀,此次投产了1.5D2及8T10两个较为极端的规格进行试验验证,每个规格设置三个试验方案,表示为导向带宽度×数量的形式。三个方案分别基于表1推荐的两种宽度的导向带,二者宽度均大于计算得出的导向长度,又基于增强承载能力,优化阀瓣与导套同轴度的考虑,设置了较小宽度的双条导向带方案,如表2所示。

表2  试验方案

规格
方案一
方案二
方案三
1.5D2
5.6 mm×1
5.6 mm×2
9.7 mm×1
8T10
9.7 mm×1
9.7 mm×2
15 mm×1

试验主要考察两个指标:动作性能和密封性,即观察六种试验方案能否顺利起跳和回座,能否实现密封。试验阀瓣在试验台上做20次动作性能试验,记录起跳压力和回座压力,考察其稳定性,并在动作性能试验后进行密封试验,考察密封能力。试验阀瓣如图4所示。

 图4  试验阀瓣示意图

4.2  动作性能试验

1.5D2的试验数据如表3所示,可以看出导向带对起跳压力的影响并不明显,而对回座压力的影响相对较大。因此,根据回座压力值绘制折线图,使试验结果更加清晰。

表3  1.5D2的试验数据

1.5D2试验的回座压力变化如图5所示,三种试验方案的回座压力波动均较小,总体在1.25~1.28 MPa间波动,而方案为5.6 mm×2的回座压力波动最小,说明该方案导向带的导向作用在三者中较为明显。

图5  1.5D2试验回座压力分析

8T10的试验数据如表4所示,与1.5D2试验结果相似,导向带对起跳压力的影响并不明显,而对回座压力的影响相对较大。

表4  8T10的试验数据

图6为8T10试验回座压力曲线,三种试验方案的回座压力波动均较小,总体在0.64~0.7 MPa间波动,而方案为9.7 mm×2的回座压力波动最小,说明该方案导向带的导向作用在三者中较为明显。

图6  8T10试验回座压力分析

综合两个规格试验样阀的试验结果可知,两条导向带的导向作用要优于一条导向带,这是由于两条导向带的导向长度更长;相对于一条导向带,两条导向带能够显著减小阀瓣在导套内的倾斜角度,从而减小径向力和摩擦力,使往复运动更加顺畅。

4.3  密封试验

1.5D2及8T10的密封试验在每4次动作性能试验后进行,故每台阀进行5次密封试验,结果分别如表5和表6所示。O型圈作为一种常用的密封元件,其密封原理主要是依靠自身的弹性变形,即在压力作用下紧密贴合在密封面上,从而阻止流体通过。从密封试验结果可知,在每次密封试验中,安全阀在不同规格及试验压力下,泄漏率均可达到无可见泄漏,各次试验结果之间具有良好的稳定性和一致性。这表明阀门在经过多次动作性能试验后,依然能够保持优异的密封性能,其密封结构在实际工况下具有较高的可靠性,满足实际工程应用的需求。

表5  1.5D2的密封试验数据

表6  8T10的密封试验数据

05

应用效果

某煤化工企业的煤气化装置面临着高压和含大量杂质的恶劣工况,在该装置的关键部位安装了本文改进结构的先导式安全阀。实际应用表明,改进后的安全阀在该苛刻条件下始终处于良好的工作状态,未出现任何异常情况,其优异的性能为装置的安全稳定运行及企业的安全生产提供了可靠的保障,突破了先导式安全阀在煤化工领域应用的限制,得到了用户的高度认可。

在某大型石油化工企业的催化裂化装置中应用本文改进结构的先导式安全阀。该工况的操作条件及介质成分均较为复杂,且工作压力较高,自安装使用改进结构的安全阀以来,经过长时间的运行监测,未出现主阀卡阻现象,安全阀能够准确、及时地开启和关闭,有效保障了装置的安全运行,避免了因安全阀故障导致的生产中断和潜在的安全事故,提高了生产效率和经济效益。

06

结语

本文主要对先导式安全阀主阀阀瓣的导向结构进行改进,通过分析先导式安全阀出现主阀卡阻现象的原因,得出金属导向结构不适用于高压与含杂质介质的工况,从而改进其导向结构,将金属导向换为非金属的导向带结构,并通过试验得出了较为优选的导向带结构方案,结果表明阀瓣在导套内的往复运动更加顺畅,能够显著减小卡阻。

在不同的应用场景中,改进后的安全阀均展现出了良好的适应性和可靠性,有效解决了传统金属导向结构在复杂工况下容易出现的卡阻问题,提高了安全阀的整体性能和使用寿命,为各行业的安全生产提供了有力支持,具有显著的工程应用价值和广泛的应用前景。

*本文节选自《阀门 · 学术版》2025年第8期,文章内容不代表《阀门》立场,如有不同观点,可以留言讨论,友好交流,共同进步。