传播属于全行业的知识和智慧
Sharing cutting-edge knowledge and skills with the entire industry

阀门流体动力学特性及噪声控制研究进展

发表时间:2025-10-24 00:00


出品 |《阀门》期刊

作者 |  关  帅


摘要:数值模拟方法与多物理场耦合技术的突破使得阀门内部复杂流动结构与噪声产生机制得以深入揭示,推动了一系列高效降噪技术的创新。本文系统综述了阀门内部湍流脉动、漩涡脱落及流固耦合作用引发噪声的机理,对比分析了噪声数值预测方法的精度提升与局限,重点评述了包括结构优化降噪、声学处理等被动控制及智能主动控制在内的降噪技术最新进展。未来研究应重点关注多物理场耦合模拟方法、深度学习、实验测试与验证技术等方向,以推动阀门设计向低噪声、智能化方向发展。


关键词: 阀门噪声;流体动力学;流固耦合;降噪技术;气动声学


01

概述



阀门作为工业管道系统中的关键控制元件,广泛应用于石油、化工、电力、船舶等领域,承担着调节流量、控制压力和切换流向等重要功能。然而,在阀门工作过程中,由于流体流经阀门时会产生复杂的流动现象,如湍流、分离、涡旋和空化等,不仅会降低阀门的性能和效率,还会产生强烈的噪声和振动。阀门噪声不仅会对工作环境造成污染,影响操作人员的健康和工作效率,还可能导致阀门及其连接管道的结构疲劳损伤,甚至引发安全事故。

随着现代工业对设备性能和环境要求的不断提高,阀门的流体动力学特性及噪声控制已成为工程领域的研究热点。特别是在高压、高速、高雷诺数等极端工况下,阀门内部的流动更加复杂,噪声问题更加突出,对阀门的设计和优化提出了更高的要求。近年来,随着计算流体动力学、计算气动声学和多物理场耦合技术的快速发展,以及先进实验测量技术的广泛应用,阀门流体动力学特性及噪声控制取得了显著进展。

本文旨在对阀门流体动力学特性及噪声控制的研究进展进行系统综述。在阀门流体动力学特性和噪声控制的基本理论和数学模型的基础上,详细讨论阀门内部流动特性的研究现状,分析阀门噪声产生机理及控制方法的最新进展,最后指出当前研究中存在的问题和未来的发展方向。


02

理论基础与方程



2.1  流体动力学基本理论

阀门内流体运动遵循质量、动量和能量守恒定律,其控制方程可表述为:

(1)连续性方程

 (1)

(2)Navier-Stokes方程

 (2)

(3)能量方程

 (3)

在高压差阀门中,流体经历可压缩端流过程,伴随激波、边界层分离及涡环脱落等复杂现象。以蒸汽调节阀为例,当蒸汽流经喉口节流区域时,流速可加速至超音速,随后在扩张段发生突扩减速,形成回流区与剪切层振荡,此过程将机械能转化为声能辐射。

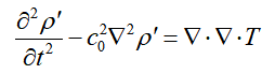
2.2  气动声学理论

阀门噪声主要由单极子(流体体积变化)、偶极子(固体表面作用力)和四极子(湍流应力)声源共同造成。Lighthill声类比理论将流体运动视为声源分布,其声波动方程为:

 (4)

对于阀门噪声预测,FW-H(Ffowcs Williams-Hawkings)方程因其能够处理运动边界问题而被广泛应用,表达式如下:

 (5)

其中,右端三项分别代表厚度噪声(单极子)、载荷噪声(偶极子)和湍流噪声(四极子)。

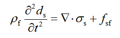
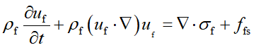
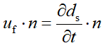
2.3  流固耦合与声振耦合

阀门噪声本质上是流固耦合问题。流体脉动力引发阀体振动,振动表面又反过来影响流场,形成声振反馈回路。其控制方程可表述为:

(1)流体域

 (6)

(2)固体域

 (7)

(3)交界面条件

 (8)

 (9)

研究表明,阀门噪声主要包括湍流噪声、空化噪声和机械噪声三种类型。湍流噪声是由于流体流经阀门时产生湍流脉动引起的,主要分布在中高频段;空化噪声是由于空化气泡崩溃产生的冲击波引起的,具有宽频特性;机械噪声是由于阀门部件振动和碰撞引起的,主要分布在低频段。阀门主要噪声源及其特性如表1所示。

表1  阀门主要噪声源及特性

声源类型
产生机制
典型频率范围
主导工况
单极子
流体体积脉动(空化)
1~10 Hz
液体介质、空化发生
偶极子
表面脉动力
100~5000 Hz
中低压气体
四极子
湍流应力
500~10000 Hz
高压蒸汽、超音速流
机械噪声
部件振动/碰撞
<500 Hz
启闭瞬间、松脱部件



03

流体动力学特性研究现状


3.1  阀门内部流动特性

阀门开度对流动结构有决定性影响。研究表明,小开度工况(<30%)下,流体在阀芯与阀座间隙形成“冲击射流”,诱发强烈湍流混合噪声;而大开度(>70%)时则转变为“附壁射流”。孙凯浪以球阀为研究对象,在分析恒定开度下球阀稳态特性的基础上,研究了瞬态启闭过程中球阀的动态特性。随着入口质量流量的增加,阀内中心点处的流速及压力波动幅度显著增大;随着开阀速度曲线斜率的减小,阀内流体的速度梯度与流场紊乱度均呈现下降趋势。

偏心旋转阀在煤气化装置中的研究表明,涡旋结构与湍流脉动是气动噪声的主因。阀后安装降噪孔板后噪声降低9 dB,而增大进口压力与减小流量同样具有显著的降噪效果。针对某化工领域蒸汽放空阀在开度为0%至60%区间存在的振动噪声问题,刘柏圻等对该阀门在开度40%的真实工况下的流场及声场进行了数值模拟分析,指出原结构阀门内部存在多个涡旋,阀内件与孔板的高马赫数区域占比约90%,且存在超音速流动区域,这极有可能引发较大的冲击波并产生激波啸叫。

从以上研究可以看出,不同类型阀门的流动特性差异显著,流体在阀内的压力分布、流速变化、湍流特性及能量损耗是造成阀门噪音的主要原因。

3.2  数值模拟方法进展

随着计算技术的发展,数值模拟已成为预测阀门噪声的重要手段,船用三通阀研究中噪声预测误差仅1.85 dB。阀门噪声模拟已从稳态模拟(RANS)向高精度瞬态模拟(LES、DDES)发展。

传统计算流体动力学方法,如RNG k-ε模型,与声学边界元法(BEM)结合,可有效预测流致噪声的宽频特性及声压级分布规律。李树勋等针对高压差调节阀,通过耦合RNG k-ε湍流模型与BEM,发现套筒节流区域的压力脉动是主要噪声源,并优化结构参数使声压级降低至51.02 dB。

多物理场耦合方面,声流固耦合技术成为研究热点。王奇根等对导流板结构进行优化,并结合LES和LMS Virtual.Lab分析,指出通海阀在一定范围的噪声声压级有所减小,有利于减声降噪,同时改善流场的均匀性。阀门噪声数值模拟方法对比如表2所示。

表2  阀门噪声数值模拟方法对比

方法
计算精度
计算成本
适用场景
RANS
工程初步设计
LES
极高
声学特性研究
DES/DDES
中高
工业优化设计
FW-H类比
远场噪声预测



04

噪声控制技术研究进展



4.1  被动降噪技术

被动噪声控制技术是通过改变阀门结构或添加附加装置来降低噪声,具有结构简单、可靠性高等优点。不同阀门降噪技术效果对比如表3所示。

表3  阀门被动降噪技术对比

技术类别
降噪机理
典型降噪幅度
附加压损
适用场景
扩径降压结构
流速分级降低,减少能量耗散
6~8 dB(A)
可忽略
液体阀门启闭工况
声学衬里
声波吸收与相位抵消
4~6 dB(A)
蒸汽阀门
阀套型线优化
抑制流动分离
1~4 dB(A)
可正可负
小开度调节阀门
降噪孔板
湍流破碎与声阻抗失配
8~10 dB(A)
显著增加
高压气体阀门
主动控制系统
避开共振频率
3~5 dB(A)
智能调节阀门

结构优化降噪是应用最广泛的技术路线,包括型线优化、阻尼减震结构等。研究表明,采用三次扩径结构,通过第一环形通道(大截面)与第三管身(小截面)形成压降阶梯,结合内胆层消音孔与外壁双层隔音层,可显著降低启闭噪声15 dB。

声学处理是控制阀门内部声场的方法,通过在阀门内部表面设置声学处理结构,改变声反射和吸收特性,减少噪声。常见的声学处理方法包括设置声学衬里、声学谐振器和声学阻尼器等。

多级多孔板是一种有效的被动噪声控制技术,廖静等在偏心旋转阀下游安装多级穿孔板,使噪声降低9 dB。有学者对单级多孔板和多级多孔板的降噪原理和性能进行了对比分析。结果表明,单级多孔板对降低500~1750 Hz范围内的噪声有效,最大声功率级降低14 dB;多级多孔板对降低1000~4500 Hz范围内的噪声更有效,最大声功率级降低22 dB。

消声器是控制阀门噪声传播的常用装置。根据消声原理,消声器可分为阻性消声器、抗性消声器和阻抗复合式消声器三类。阻性消声器通过吸声材料吸收声能,主要用于控制中高频噪声;抗性消声器通过改变声阻抗来反射和干涉声波,主要用于控制低频噪声;阻抗复合式消声器结合了两者的优点,具有更宽的消声频率范围。

4.2  主动控制技术

主动噪声控制作为前沿技术方向,其核心原理是利用声波干涉相消特性,通过人工产生与噪声源幅值相等、相位相反的次级声波实现抵消。相比于被动控制,主动噪声控制技术在低频段具有显著优势,且不受阀门结构空间限制。阀门主动噪声控制技术分类对比如表4所示。

表4  阀门主动噪声控制技术对比

控制方式
技术代表
降噪频宽
实时性
系统复杂度
前馈控制
AFXLMS算法
宽频
高(需参考传感器)
反馈控制
小波消噪
窄频
中(自抗扰设计)
谐波抑制
PWM频率优化
特定阶次
极高
低(电路级实现)
智能驱动
物联网驱动系统
机械噪声全频段
系统级
高(机电一体化)

尽管主动降噪技术取得显著进展,但其工程化应用仍面临多重挑战。一是算法实时性瓶颈,AFXLMS-CFPSO等先进算法需大量矩阵运算,传统DSP难以满足1 ms以下的延迟要求;二是极端工况下,强振动环境导致传感器失效;三是多声源耦合问题,大型调节站中多个阀门噪声相互干涉,传统单点控制失效。


05

结语



本文全面综述了阀门流体动力学特性及噪声控制的研究进展,基于阀门流体动力学特性及噪声控制的基础理论和数学模型,详细阐述了阀门流体动力学特性的研究现状,系统梳理了阀门噪声控制的研究进展,涵盖噪声产生机理、数值预测方法和控制技术。

通过对现有研究的分析可以发现,阀门流体动力学特性及噪声控制研究已取得了丰富的成果,但仍存在复杂流动现象的精确描述、多物理场耦合作用机制、高效降噪方法的开发等亟待解决的问题。未来研究应重点关注多物理场耦合模拟方法、深度学习在阀门噪声控制中的应用、新型低噪声阀门结构设计、实验测试与验证技术以及噪声控制新材料与工艺等方向,推动阀门流体动力学特性及噪声控制研究的进一步发展。


*本文节选自《阀门 · 学术版》2025年第8期,文章内容不代表《阀门》立场,如有不同观点,可以留言讨论,友好交流,共同进步。